Shelfbreak Jet Influence on Coastal Sea Level
Flooding and shoreline erosion are increasing threats to coastal communities. Coastal sea levels are influenced by multiple factors, including mean sea level rise, tides, storm surges, river outflow, and waves. A recent paper by Camargo et al. (2025) focused on the extent to which offshore circulation, in particular the shelfbreak jet on the New England shelf, contributed to sea level variability over the period 2014 – 2022. They found that roughly 30% of sea level variance during storm surges can be attributed to the shelfbreak jet.
The authors used a variety of data sets, including tide gauge stations along the New England coastline from Boston, MA to Atlantic City, NJ, wind stress from the ECMWF ERA-5 reanalysis, and shelfbreak jet transport from the OOI Pioneer Array. The jet transport was estimated using upward-looking ADCP data from the Central Inshore, Central, and Central Offshore moorings. The methodology and results are described in Carmargo et al., 2024 and the jet transport data set is available in Zenodo (Carmago, 2024). The data were de-tided and then band-pass filtered (1-15 days) to isolate the storm-surge component of sea level variability. Coherence between coastal sea level and jet transport for 1-15 day periods was established by Carmago et al. (2024).

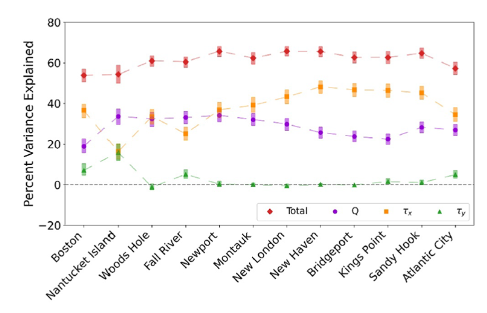
Percent of storm surge variance explained by the regression model (red) and for individual parameters: shelfbreak jet (purple), zonal wind stress (orange), and meridional wind stress (green). Tide gauge stations are ordered from north to south along the coastline. From Camargo et al., 2025.
The influence of jet transport and two components of wind stress (zonal and meridional) on storm surge was evaluated by means of a linear regression model that determined the regression coefficients for each parameter. The regression was run for each tide station using the previously computed jet transport and the ERA-5 wind stress closest to each station. Overall, the regression model explained about 60% of the storm surge variance, with jet transport and zonal wind stress explaining 28% and 38%, respectively. There was modest along-coast variability in the variance explained by each parameter (Figure 3): Variance explained by zonal wind stress tended to increase from NE to SW along the coast (Fall River to Bridgeport), while variance explained by the jet tended to decrease. The wind stress impact was identified as due to either onshore or downwelling-favorable winds. The jet impact was due to changes in the cross-shelf pressure gradient associated with the geostrophically-balanced currentCase studies for specific synoptic events highlight the complexity of coastal storm surge events and the broad suite of observational tools necessary to determine the influence of different mechanisms. The authors note that simple storm surge models will not capture the influence of offshore currents like the shelfbreak jet, and that such influence is likely to be found elsewhere on the US east and west coast.
___________________
References:
Camargo, C.M.L., C.G. Piecuch and B. Raubenheimer, 2025. Do ocean dynamics contribute to coastal floods? A case study of the shelfbreak jet and coastal sea level along southern New England, Earth’s Future, 13, https://doi.org/10.1029/2025EF006708.
Camargo, C. M. L. (2024). Shelfbreak jet transport from OOI pioneer [Dataset]. https://doi.org/10.5281/zenodo.10814048.
Camargo, C. M. L., Piecuch, C. G., & Raubenheimer, B. (2024). From shelfbreak to shoreline: Coastal sea level and local ocean dynamics in the Northwest Atlantic. Geophysical Research Letters, 51(14), e2024GL109583. https://doi.org/10.1029/2024GL109583 .
